6+ Rainwater Harvesting Diagram


Rainwater Harvesting Methods Of Rainwater Harvesting


Rain Water Conservation Diagram Drawing Easy Way Labeled Science Project Youtube


Rainwater Harvesting Suds Wales Sustainable Drainage Systems


Rainwater Harvesting Diagram Images Browse 51 Stock Photos Vectors And Video Adobe Stock


Process Technology And Sustainability Assessment Of Wastewater Treatment Industrial Engineering Chemistry Research


Cdte In Thin Film Photovoltaic Cells Interventions To Protect Drinking Water In Production And End Of Life Sciencedirect


Rain Water Conservation Diagram Drawing Easy Way Labeled Science Project Youtube


L Herbier Extraordinaire Data Informed Structure Iaac Blog


Sustainability Free Full Text Reuse Of Treated Wastewater Drivers Regulations Technologies Case Studies And Greater Chicago Area Experiences


Recent Progress On Emerging Porous Materials For Solar Driven Interfacial Water Evaporation Ma 2023 Energy Technology Wiley Online Library


6 Maps To Draw For Creating Your Own Permaculture Site Design Tenth Acre Farm


Aim 6 Cycle 07 Lesson 05 Teaching Pdf Foods Health Care


Xinyu Su Portfolio By Suxinyu Issuu


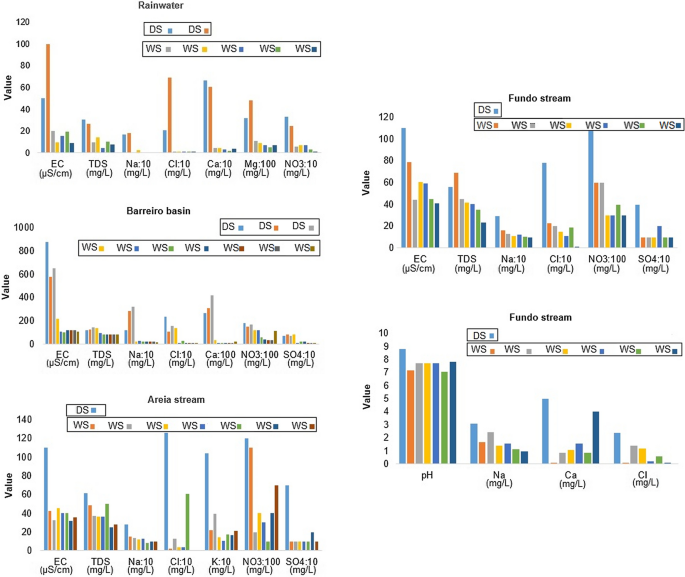
Hydrochemical And Radiometric Evaluation Of Fresh And Thermal Waters From Araxa City Minas Gerais Brazil Springerlink


Rainwater Harvesting System Diagram Rain Water Collection Rainwater Harvesting System Rain Water Collection System


Rain Water Conservation Diagram Drawing Easy Way Labeled Science Project Youtube


Rainwater Harvesting Enviro Friendly


Integrated Electro Coagulation And Gravity Driven Ceramic Membrane Bioreactor For Roofing Rainwater Purification Flux Improvement And Extreme Operating Case Sciencedirect

Iklan Atas Artikel

Iklan Tengah Artikel 1

Iklan Tengah Artikel 2

Iklan Bawah Artikel